Başvurular başladı: TOKİ'den ayda 12 bin TL'ye daire imkanı

Toplu Konut İdaresi Başkanlığı (TOKİ), Türkiye'nin farklı illerinde özellikle İstanbul, Ankara, Bolu ve Düzce gibi şehirlerde düzenli olarak 2+1 ve 3+1 daire satışları gerçekleştiriyor. Bu satışlar, kuralı satış yöntemiyle yapılıyor ve dar gelirli vatandaşların uygun fiyatlarla konut sahibi olmalarını sağlıyor. TOKİ, şimdi de yeni bir projeyle tekrar konut satışlarına başladı. Bu proje kapsamında, hem 2+1 hem de 3+1 daireler satışa sunulmuş durumda. Başvurular ise başladı. İşte detaylar...
Toplu Konut İdaresi Başkanlığı (TOKİ), Türkiye genelindeki binlerce vatandaşın ilgisini çekmeye devam ediyor. Özellikle Ankara, İstanbul, Düzce ve Bolu gibi büyük şehirlerde zaman zaman gerçekleştirdiği daire satışları, konut sahibi olmayı hayal eden birçok kişi için önemli bir fırsat sunuyor.
Kuralı satış yöntemiyle alıcılarına ulaşan 2+1 ve 3+1 daireler, uygun ödeme koşullarıyla dar gelirli vatandaşların bütçelerine de hitap ediyor. Bu nedenle TOKİ tarafından satışa sunulan konutlar, Türkiye’nin dört bir yanındaki vatandaşların dikkatini topluyor.
Son olarak TOKİ, Düzce ilinde 2+1 ve 3+1 dairelerden oluşan yeni bir proje başlattığını duyurdu. Başvuruların başladığı bu projeye ilgi büyük.
Başvurular başladı
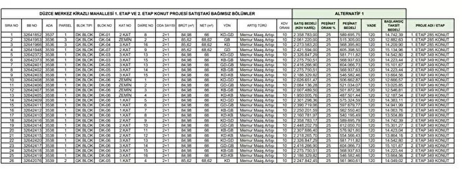
Toplu Konut İdaresi Başkanlığı (TOKİ), Düzce Merkez Kirazlı Mahallesi'nde gerçekleştirdiği 1. Etap 285 konut ve 2. Etap 349 konut projesi kapsamında, toplamda 39 adet konutun satışa sunulacağını açıkladı.
Düzce ilindeki TOKİ dairelerine başvurular 10 Mart 2025 tarihinde başladı. Başvurular için son tarih ise 14 Mart 2025 olarak belirlendi.
Başvurular, T. Halk Bankası A.Ş.'nin Düzce ilindeki şubelerinden yapılabilecekken, başvuru bedeli 10.000 TL olarak belirlendi. Satışa sunulacak daireler, 2+1 ve 3+1 tiplerinde olacak.
Kura çekilişi ise 21 Mart 2025 tarihinde gerçekleştirilecek. Asil hak sahipleri için sözleşme imzalama tarihleri 2 Nisan - 4 Nisan 2025, yedek hak sahipleri için ise 14 Nisan - 16 Nisan 2025 olarak duyuruldu.
Sözleşmelerin T. Halk Bankası A.Ş. Düzce Bulvar Şubesinde imzalanacağı ifade edildi.
Başvuru şartları
TOKİ, satış kampanyasına Düzce ilinde başvuru döneminden geriye doğru 1 yıldan az olmamak koşulu ile ikamet edenler veya il nüfusuna kayıtlı olanların başvuruda bulunabileceklerini duyurdu.
Daireler için başvuru sahiplerinde T.C. vatandaşı olma ve 18 yaşını tamamlamış olma şartlarının aranacağı açıklandı.
Konut listesi
Düzce ilinde TOKİ tarafından satılacak konutlardan 26'sı 2+1 ve 13'ü 3+1 olarak duyuruldu.
En uygun 2+1 konut; 487.501,44 TL peşinat, 120 ay vade ve 12.187,54 TL'den başlayan fiyatlarla alıcısını bulacak.
İşte Düzce ilinde satılacak 2+1 ve 3+1 daire listesi:

